Use full screen for better viewing.

Authors

Journal Title

Journal ISSN

Volume Title

Publisher

Abstract

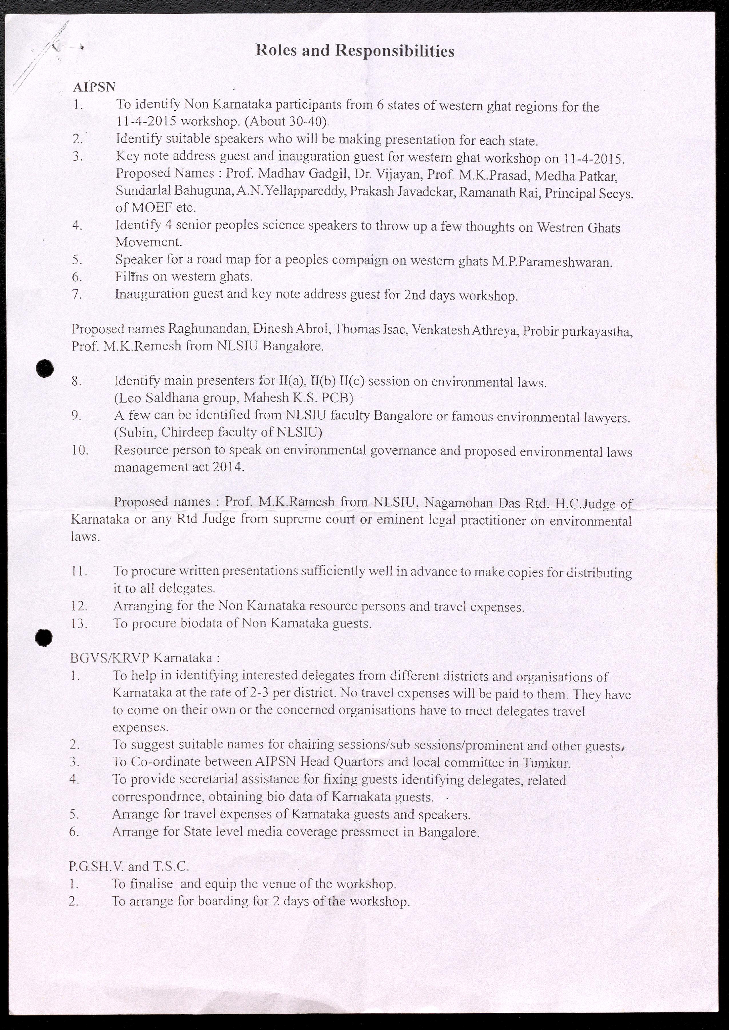
Title

Admin -- Discussion notes

Identifier

MS-035-3-13-13-42

Description

Contains i) Group discussion notes from SWGM - Goa --Panchayats and Western Ghats, ii) A discussion note on a National Workshop.

Date(s)

2012, 2015

Collection

Panduranga Hegde Papers

Series

Series 3: Projects and Campaigns involving Panduranga Hegde

Sub-Series

Sub Series 13: Save Western Ghats Movements

Conditions Governing Use

Copyright may not have been assigned to Archives, National Centre for Biological Sciences. The Archives at NCBS makes no representation that it is the copyright owner in all of its collections. The user must obtain all necessary rights and clearances before use of material and material may only be reproduced for academic and non-commercial use. See: https://archives.ncbs.res.in/access. In its capacity as an academic and educational centre, the Archives at NCBS is making digital objects available online for open viewing and research purposes. If you are the rightsholder or a representative of the rightsholder and would like to restrict access to any digital object displayed, please do reach out to us: https://archives.ncbs.res.in/takedown