Use full screen for better viewing.

Authors

Journal Title

Journal ISSN

Volume Title

Publisher

Abstract

Title

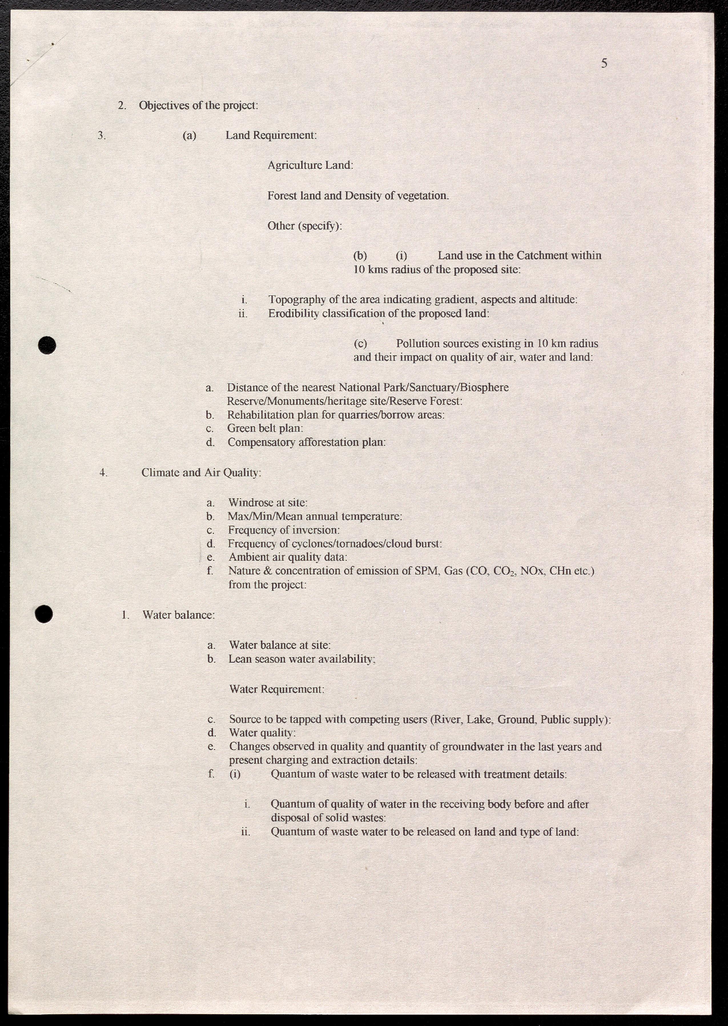
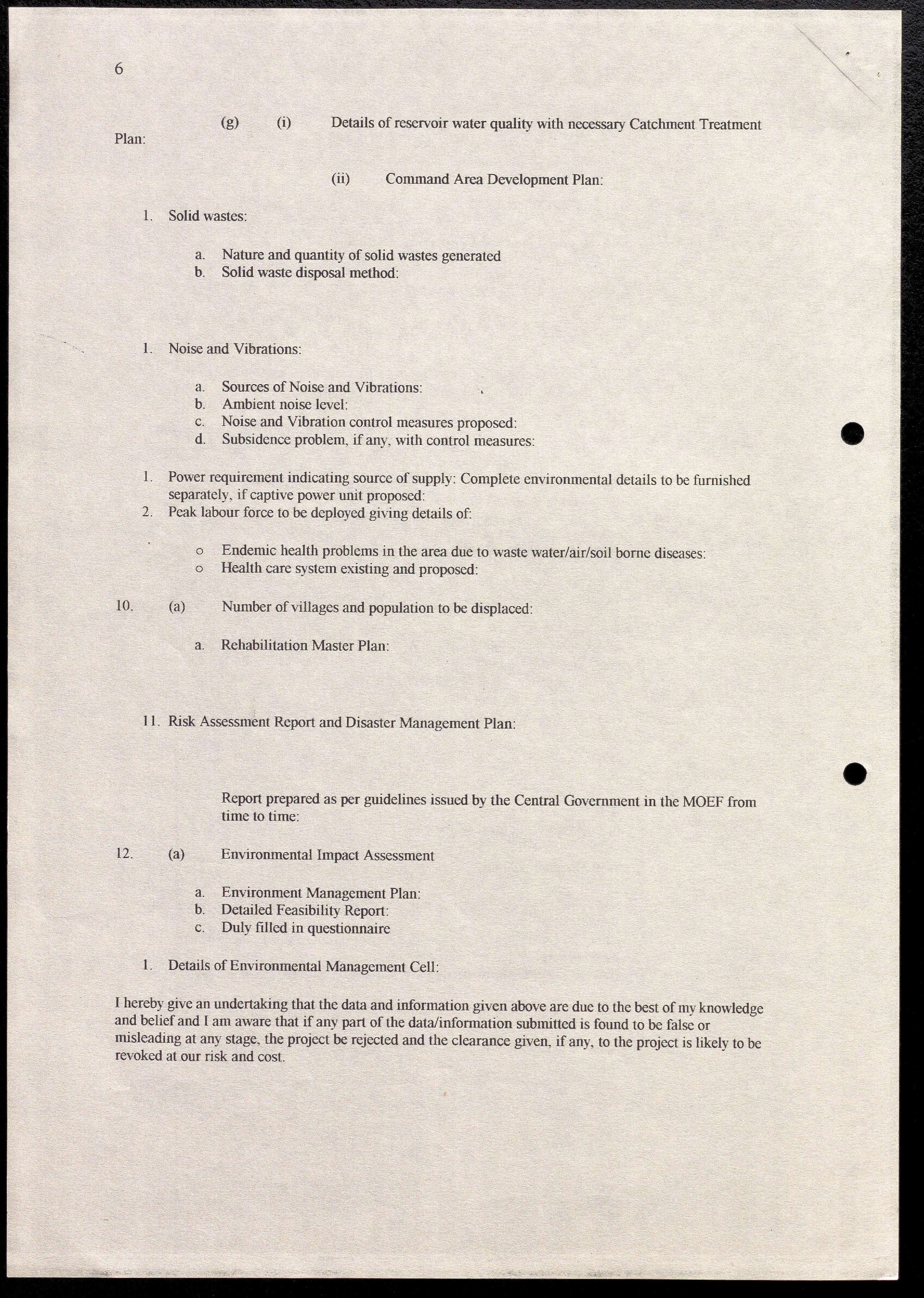
Environment Impact Assessment

Identifier

MS-035-2-3-7-22

Description

Date(s)

27 January 1994

Collection

Panduranga Hegde Papers

Series

Series 2: Administration

Sub-Series

Sub-Series 3 - Administrative Records - Various Organisations

Conditions Governing Use

Copyright may not have been assigned to Archives, National Centre for Biological Sciences. The Archives at NCBS makes no representation that it is the copyright owner in all of its collections. The user must obtain all necessary rights and clearances before use of material and material may only be reproduced for academic and non-commercial use. See: https://archives.ncbs.res.in/access. In its capacity as an academic and educational centre, the Archives at NCBS is making digital objects available online for open viewing and research purposes. If you are the rightsholder or a representative of the rightsholder and would like to restrict access to any digital object displayed, please do reach out to us: https://archives.ncbs.res.in/takedown